Sample Trust Deed For Property Malaysia / Click here to retrieve trust deed samples to your desktop computer.

Sample Trust Deed For Property Malaysia / Click here to retrieve trust deed samples to your desktop computer.. You can apply for a home loan to buy an investment property in a trust. Print or download your customized form for free. A trust deed—also known as a deed of trust—is a document sometimes used in real estate transactions in the u.s. The sample deed of trust below details an agreement among the lender lisa r villa the. It is a document that comes into play when one party has taken out a loan from another party to purchase a property.

Trust deeds may be used to protect ancestral property and possessions for the benefit of future generations, or to provide a maintenance allowance for family who are not in line to inherit under succession law. Learn more about it here! Just £35.00 + vat will. This deed of trust template is a sample of a formal arrangement necessary for property this trust deed template is suitable for a discretionary trust, where the trustee has full control over the assets the trustee's obligations under discretionary trusts are likely to be enforceable in courts (at least in. If you wish to use the sample as the basis for your trust deed it is important to carefully go through it to make sure that it will meet your needs.

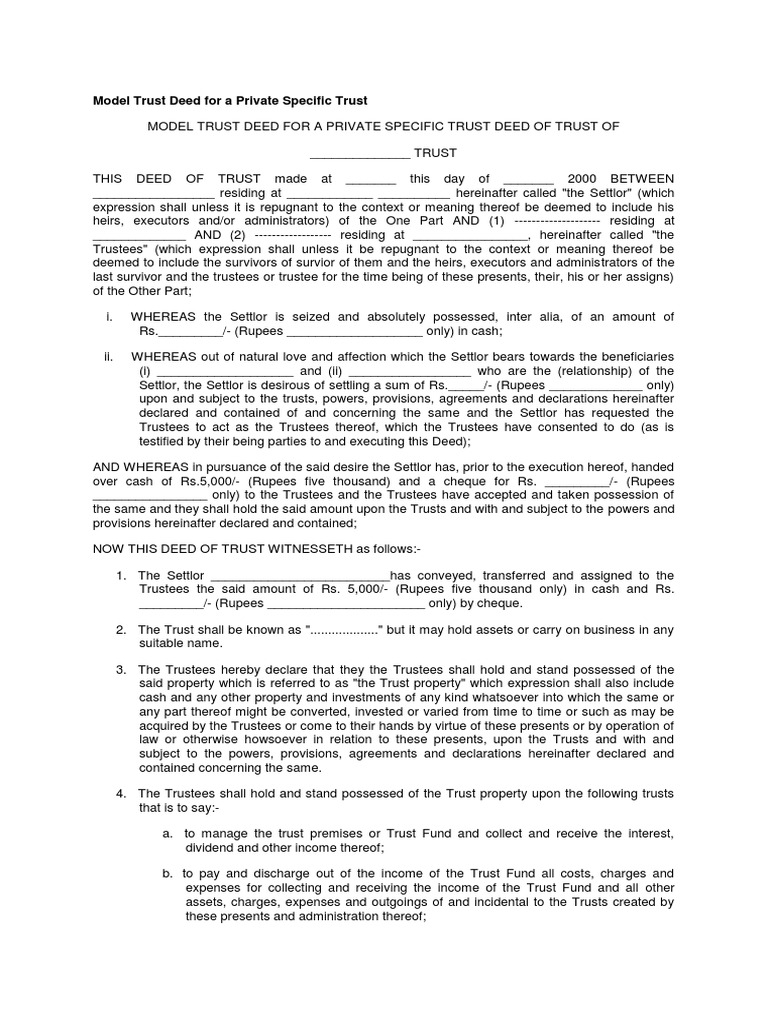
Trust Deed For Establishment Of A Temple
Trust Deed For Establishment Of A Temple from cdn.slidesharecdn.com
While some people think that a mortgage and a deed of trust is exactly the same as it is not. Because a living trust only governs property transferred into the trust, it will only avoid probate for property that you transfer to the trust. The deed of assignment is just one of the many legal documents you need to sign if you're buying or selling a property. We have sample trust of deed forms provided below in which you can download and fill them out for free for your personal and future intents. Simply print it or you can open it to your word application. Benefit from the law firm's pi insurance and legal professional privilege. The charitable trust sample deed for new foundations meets all the requirements for incorporation. Under trust deed, the settlor transfers the identifiable property to the trustees and makes it obligatory for the trustees to work and manage the trust as per the terms and conditions specified in the trust deed.

The trust deed names the trustee, beneficiaries, settlor and appointer and contains the rules that they must follow when dealing with the trust.

Benefit from the law firm's pi insurance and legal professional privilege. Various sample trust property deeds, deeds trust, and other deed of trust forms are available on the us legal forms website. 9.1.9 the trustees shall be entitled to make donations for charitable, ecclesiastical, educational or other like purposes either from the income, capital profits or gains or the capital of the trust A trust deed—also known as a deed of trust—is a document sometimes used in real estate transactions in the u.s. A deed of trust assignment is a document by which transfer of title or rights in a trust property or mortgage is made to another person. The deed of trust is, basically, a guarantee between a lender and a borrower, with a trustee as an intermediary, that pledges the interest in real a deed of trust is used primarily by lenders and require the borrower to provide title to the property being acquired as collateral for the loan amount. Printable and fillable sample trust deed template. The deed of trust ia formed when you and one of your beneficiaries is on an equal partnership of the same estate. This document recognizes a legal relationship between borrower, lender, & trustee. If you now transfer the property to the trustee of your revocable living trust by warranty deed, the integrity of the chain of title will remain intact and conversely, many grantors prefer to convey their real property to their living trusts by means of a quitclaim deed. Our services are available at delhi, gurugram, noida, ghaziabad, mumbai, bangalore & hyderabad only | to know more click here to visit our website : Terms of this deed to utilize and apply the trust property to any other objective. Build your family trust deed directly on an australian law firm's website.

It is difficult to receive a loan for a property that is vacant and needs work. Our services are available at delhi, gurugram, noida, ghaziabad, mumbai, bangalore & hyderabad only | to know more click here to visit our website : You can apply for a home loan to buy an investment property in a trust. Fully ato compliant with bamford and tax savings. The deed trust records is a deed in which the trustee gets the title of the real property which is held in the form of a security for a loan between a you can easily prepare your deed of trust by sitting in front of your computer from the comforts of your home or office as there are many blank forms that are.

Understanding Trusts And Contracts Held In Trust Manulife Investment Management
Understanding Trusts And Contracts Held In Trust Manulife Investment Management from www.manulifeim.com
8 jalan munshi abdullah, 50100 kuala. If you wish to use the sample as the basis for your trust deed it is important to carefully go through it to make sure that it will meet your needs. Benefit from the law firm's pi insurance and legal professional privilege. Terms of this deed to utilize and apply the trust property to any other objective. The deed of trust is, basically, a guarantee between a lender and a borrower, with a trustee as an intermediary, that pledges the interest in real a deed of trust is used primarily by lenders and require the borrower to provide title to the property being acquired as collateral for the loan amount. Just £35.00 + vat will. You can apply for a home loan to buy an investment property in a trust. The person or company (often an escrow company) who holds legal title to the real property under the deed and has the responsibility of selling the property at auction if the trustor doesn't make the.

Nov learn more about revocable trusts , including the necessary legal procedure that a grantor must go through to revoke a revocable trust.

Our company has mortgage brokers that specialise in helping people borrow. If there are any provisions you are unhappy with, unclear. Special warranty deeds—also known as grant deeds, covenant deeds, or limited warranty deeds—are best for transferring property into a living trust. 8 jalan munshi abdullah, 50100 kuala. Various sample trust property deeds, deeds trust, and other deed of trust forms are available on the us legal forms website. Under trust deed, the settlor transfers the identifiable property to the trustees and makes it obligatory for the trustees to work and manage the trust as per the terms and conditions specified in the trust deed. They are an independent third party that holds. Nov where a trust is revocable, the trust deed may set out the procedure for revoking the trust and. These deeds formalise the transfer of property into a trust. Telephone us for free legal advice to answer the online questions to build the family discretionary trust. Whenever a property changes hands, it has to. The property owner borrowing the money. Learn more about it here!

Owner financing may be the solution you have been looking for! Nov where a trust is revocable, the trust deed may set out the procedure for revoking the trust and. Looking for sample property deeds? These deeds formalise the transfer of property into a trust. The sample deed of trust below details an agreement among the lender lisa r villa the.

Download Property Trust Deed Sample Pics Neckbow
Download Property Trust Deed Sample Pics Neckbow from images.wondershare.com
8 jalan munshi abdullah, 50100 kuala. Our fixed unit trust deed has been approved by office of state revenue nsw, means trustee can get benefit for free threshold of land tax. Properties for achieving and said objects. Learn more about it here! The deed of trust is, basically, a guarantee between a lender and a borrower, with a trustee as an intermediary, that pledges the interest in real a deed of trust is used primarily by lenders and require the borrower to provide title to the property being acquired as collateral for the loan amount. A deed is a document used by the owner of real property to transfer or convey the right title and interest to the property. The high price of creating certification has resulted in a deficiency of its. You can also get information about how fixed unit trust work.

Print or download your customized form for free.

(m)to advance any other objects of general public utility. A deed is a document used by the owner of real property to transfer or convey the right title and interest to the property. Looking for sample property deeds? Fully ato compliant with bamford and tax savings. Build your family trust deed directly on an australian law firm's website. Owner financing may be the solution you have been looking for! Just £35.00 + vat will. With a quitclaim deed, the grantor. The high price of creating certification has resulted in a deficiency of its. If you now transfer the property to the trustee of your revocable living trust by warranty deed, the integrity of the chain of title will remain intact and conversely, many grantors prefer to convey their real property to their living trusts by means of a quitclaim deed. The deed of assignment is just one of the many legal documents you need to sign if you're buying or selling a property. If you wish to use the sample as the basis for your trust deed it is important to carefully go through it to make sure that it will meet your needs. These deeds formalise the transfer of property into a trust.

Related : Sample Trust Deed For Property Malaysia / Click here to retrieve trust deed samples to your desktop computer..